Explicamos qué es la evaluación financiera, los métodos que existen y damos ejemplos
¿Qué es la evaluación financiera?
Una evaluación financiera es la investigación de todas las partes de un proyecto determinado con el fin de valorar si este tendrá un rendimiento futuro. Por ello, esta evaluación previa será la forma de saber si dicho proyecto contribuirá a los objetivos de la empresa o si será una pérdida de tiempo y dinero.
La importancia de la evaluación financiera es que es previa a todo desembolso. Sin esta no se considerarían muchos riesgos financieros del proyecto, aumentando las probabilidades de fracaso del mismo. Hay que tener en cuenta que esta evaluación se hace con base en datos estimados, por lo que no asegura que el proyecto vaya a ser un éxito o un fracaso.
Sin embargo, su realización sí que aumenta considerablemente la probabilidad de acierto, y avisa de importantes factores a tener en cuenta sobre el proyecto, como el tiempo de recuperación de la inversión, la rentabilidad o los ingresos y los costes estimados.
Características de la evaluación financiera
Las características de esta evaluación pueden variar enormemente según el tipo de proyecto. Sin embargo, todas las evaluaciones deben tocar los siguientes temas:
Flujo de fondos
Una vez operando, el proyecto generará ingresos y gastos. Para cada año operacional es necesario estimar cuánto se generará de unos y otros para obtener el flujo de fondos disponible.
Financiación
Aunque la empresa pueda permitirse autofinanciar el proyecto, en la evaluación financiera es importante tratar al proyecto como si tuviese que financiarse por sí mismo.
Tiempo de retorno de la inversión
El tiempo que tardará el proyecto en ser rentable es otro dato imprescindible a la hora de evaluarlo financieramente.
Objetivos
Si los objetivos del proyecto no están alineados con la visión y misión de la empresa, no tendría sentido realizarlo.
Métodos de evaluación financiera
Existe un gran número de métodos de evaluación financiera, de los cuales los más conocidos son: el Valor Actual Neto (VAN), la Tasa Interna de Retorno (TIR) y el Período de Recuperación (PR o Payback).
El Valor Actual Neto (VAN)
El VAN es un procedimiento que mide el valor en el momento actual de una serie de flujos de caja futuros (es decir, ingresos y gastos), que serán originados por el proyecto.
Para ello se deben introducir los flujos de caja futuros en la situación actual de la empresa (actualizándolos mediante una tasa de descuento) y compararlos con la inversión que se hizo en un principio. Si es mayor que esta, el proyecto es recomendable; en caso contrario, no merecerá la pena llevarlo a cabo.
Tasa Interna de Retorno (TIR)
La TIR trata de calcular la tasa de descuento que logra un resultado positivo para el proyecto.
En otras palabras, busca la tasa de descuento mínima para la cual el proyecto es recomendable y generará un beneficio. Por tanto, la TIR es la tasa de descuento con la que el VAN es igual a cero.
Período de Recuperación (PR o Payback)
Este método busca averiguar cuánto tiempo tomará recuperar la inversión inicial del proyecto. Se obtiene sumando los flujos de caja acumulados hasta que sean iguales al desembolso inicial del proyecto.
Esta técnica tiene algunas desventajas. Por un lado, tiene en cuenta solo el tiempo de recuperación de la inversión.
Esto puede dar lugar a equivocaciones a la hora de elegir entre un proyecto y otro, ya que este factor no quiere decir que el proyecto elegido sea el más rentable a futuro, sino que es el que antes se recupera.
Por otro lado, no se tienen en cuenta los valores actualizados de los flujos de caja como en los métodos anteriores. Esto no es lo más adecuado, ya que se sabe que el valor del dinero cambia con el tiempo.
Ejemplos de evaluación financiera
VAN y TIR
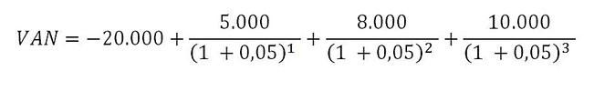
Pongamos el ejemplo de que tenemos el siguiente proyecto a evaluar: un coste inicial de 20 000 € que en los próximos 3 años generaría 5000, 8000 y 10 000 €, respectivamente.
VAN
Para calcular el VAN, primero tenemos que saber qué tipo de interés tenemos. Si no disponemos de esos 20 000 €, probablemente pidamos un préstamo bancario a un tipo de interés.
Si disponemos de estos, hay que ver qué rentabilidad nos daría ese dinero en otra inversión, como un depósito de ahorro. Por tanto, pongamos que el interés es un 5 %.
Siguiendo la fórmula del VAN:

El ejercicio nos quedaría así:

VAN= -20000 + 4761,9 + 7256,24 + 8638,38 = 656,52
De esta forma, hemos calculado el valor actual de los ingresos anuales, los hemos sumado y le hemos restado la inversión inicial.
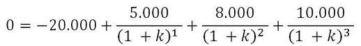
TIR
En el caso del TIR, hemos comentado anteriormente que sería la tasa de descuento que hace que el VAN se iguale a 0. Por tanto, la fórmula sería la del VAN, despejando la tasa de descuento e igualándola a 0:

TIR = 6,56 %
Por tanto, el resultado final es la tasa de interés a partir de la cual el proyecto es rentable. En este caso, esta tasa mínima es de 6,56 %.
Periodo de Recuperación o Payback
Si tenemos dos proyectos A y B, el período de recuperación nos lo da el retorno anual de cada uno de estos. Veamos el siguiente ejemplo:

Por la técnica del Periodo de Recuperación, el proyecto más interesante sería el A, que recupera su inversión el año 2 mientras que el B lo hace en 3.
Sin embargo, ¿quiere esto decir que el A es más rentable en el tiempo que el B? Por supuesto que no. Como hemos comentado, el Periodo de Recuperación solo tiene en cuenta el tiempo en el que recuperamos la inversión inicial del proyecto; no tiene en cuenta la rentabilidad, ni los valores actualizados mediante la tasa de descuento.
Es un método que no puede ser definitivo a la hora de elegir entre dos proyectos. Sin embargo, es muy útil combinándolo con otras técnicas como el VAN y el TIR, y también para hacernos una idea preliminar de los tiempos de retorno del desembolso inicial.
Referencias
- López Dumrauf, G. (2006), Cálculo Financiero Aplicado, un enfoque profesional, 2a edición, Editorial La Ley, Buenos Aires.
- Bonta, Patricio; Farber, Mario (2002). 199 Preguntas sobre marketing. Editorial Norm
- Ehrhardt, Michael C.; Brigham, Eugene F. (2007). Finanzas Corporativas. Cengage Learning Editores.
- Gava, L.; E. Ropero; G. Serna y A. Ubierna (2008), Dirección Financiera: Decisiones de Inversión, Editorial Delta.
- Gómez Giovanny. (2001). Evaluación financiera de proyectos: CAUE, VPN, TIR, B/C, PR, CC.
