
¿Qué es la maltosa?
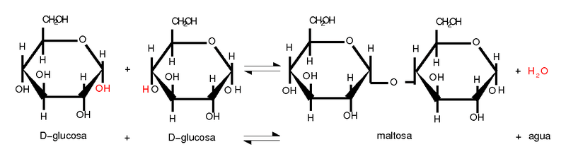
La maltosa (4-O-(α-D-glucopiranosil)-β-D-glucopiranosa) es un disacárido compuesto por dos monómeros de glucosa conectados por un enlace glucosídico de tipo α-1,4. Naturalmente, es uno de los principales productos de la hidrólisis enzimática de la amilosa, un homopolisacárido de glucosa presente en el almidón.
La maltosa es producida comercialmente a partir de almidón tratado con malta de cebada. Este disacárido es muy importante para la producción de bebidas alcohólicas fermentadas, como la cerveza o el whisky, en cuya obtención se emplean jarabes ricos en maltosa, producto de extractos elaborados con granos de cebada germinados o “malteados”.
Puesto que la maltosa se compone de dos residuos de glucosa, la hidrólisis de este disacárido en el intestino de muchos animales, incluyendo al humano, es de suma importancia para la obtención de energía a partir de los almidones vegetales de donde se obtiene.
Sin embargo, el consumo excesivo de maltosa puede estar contraindicado para pacientes diabéticos o con predisposición a esta enfermedad, pues dicho azúcar puede incrementar los niveles de glucosa en sangre (glucemia) rápidamente.
Muchos estudios han demostrado, además, que microorganismos como las bacterias, por ejemplo, son capaces de metabolizar la maltosa directamente como fuente de carbono y energía, empleando diversos tipos de enzimas específicas y transportadores para dicho fin.
Estructura de la maltosa

La maltosa es un disacárido compuesto por dos residuos de glucosa unidos entre sí a través de un enlace glucosídico de tipo α-1,4, a través del cual se unen la forma hemiacetal de una unidad α-D-glucopiranosil con un residuo de β-D-glucopiranosa, conocido como aglicona.
El átomo de oxígeno que forma parte del enlace glucosídico se ubica más o menos en el centro de la estructura, justo entre los dos anillos de glucosa.

Tiene un peso molecular de 342.3 g/mol, que corresponde a la fórmula química C12H22O11. Es un azúcar reductor y puede sufrir mutarrotación, por lo que puede hallarse en la forma α- o β-maltosa.
Además, este disacárido puede ser hidrolizado por diferentes ácidos o por una enzima específica conocida como maltasa.
Se trata de un compuesto que se encuentra comúnmente como polvo cristalino o blanquecino. Es soluble en agua y tiene un sabor ligeramente dulce (más o menos 50% del poder edulcorante de la sacarosa, el azúcar de mesa). No es fácilmente cristalizable y es fermentable.
La maltosa es un disacárido muy higroscópico, es decir, que tiene una gran capacidad de absorber humedad del medio donde se encuentra. Tiene un punto de fusión cercano a los 120 °C y puede caramelizarse a los 180 °C.
Función y usos de la maltosa
- Fuente de energía. La maltosa puede describirse como una buena fuente de energía, pues la hidrólisis del enlace glucosídico que conforma este disacárido (mediada por la maltasa) libera dos moléculas de glucosa, empleadas efectivamente por las células a través de la vía glucolítica. Puesto que el almidón presente en muchos alimentos de origen vegetal está compuesto por los homopolisacáridos amilosa y amilopectina, que son polímeros de residuos de glucosa unidos por enlaces glucosídicos, la hidrólisis de este en maltosa y, subsecuentemente, en residuos libres de glucosa, representa una importante fuente de energía calórica para distintos organismos vivos.
- Producción de bebidas. Los jarabes comerciales ricos en maltosa, especialmente los producidos a partir de la hidrólisis enzimática del almidón, son ampliamente utilizados para la producción de bebidas alcohólicas como la cerveza y el whisky, donde funcionan principalmente en el mejoramiento de la “sensación oral” de estas bebidas. Es más, la producción de estas y de otras bebidas alcohólicas fermentadas se realiza con una materia prima conocida como cebada malteada, obtenida mediante la germinación de este cereal a través de un proceso llamado malteado, donde las enzimas nativas de la semilla hidrolizan el almidón. Además, la maltosa y sus derivados, los que se encuentran en gran proporción en los jarabes ricos en este disacárido, tienen propiedades que previenen la gelificación y la cristalización de las sustancias donde se disuelven.
Alimentos con maltosa

Aunque la maltosa no es considerada un nutriente esencial, es decir, que su consumo no es imprescindible para el humano, está presente en muchos alimentos comunes:
- La maltosa es obtenida industrialmente a partir de la hidrólisis del almidón, pero es un producto intermediario natural del proceso de digestión.
- Las patatas dulces y algunos tipos de trigo son ricos en maltosa en estado “libre”.
- El sirope de malta y otros siropes de jarabe de maíz son ricos en maltosa, así como el sirope marrón de arroz, entre otros.
- Algunas cervezas, sidras y otras bebidas de malta poseen un contenido moderado de maltosa, pues esta es metabolizada durante la fermentación alcohólica.
- Determinados cereales procesados industrialmente, compotas, caramelos, confites y chocolates también poseen mucha maltosa.
- También se encuentra en la cebada, en hidrolizados de maíz y de distintos tipos de almidones.
Metabolismo de la maltosa
En los animales, la digestión del almidón comienza con las enzimas α-amilasas presentes en la saliva y luego continúa en el intestino delgado. El producto de esta degradación inicial consiste en una mezcla de dextrinas límite, maltosa y algunos residuos libres de glucosa.
Los disacáridos de glucosa resultantes (los residuos de maltosa), son hidrolizados por la enzima maltasa, proceso que termina con la liberación de dos moléculas de glucosa por molécula de maltosa, que pueden ser transportadas hacia el torrente sanguíneo y de allí hacia los tejidos corporales.
En vista de que la maltosa y la glucosa son productos muy hidrosolubles y osmóticamente activos, al ser consumidos en exceso (más de 120 gramos por día), pueden atraer agua hacia el interior del intestino, causando diarreas menores.
Los pacientes diabéticos o con predisposición a dicha enfermedad tienen contraindicado el consumo exagerado de maltosa, pues este azúcar tiene la capacidad de incrementar rápidamente los niveles de glucosa en sangre (glucemia), un evento contraproducente para estos individuos.
En las bacterias, que son organismos procariotas, la digestión de polisacáridos como el almidón ocurre gracias a unas enzimas que son exportadas hacia el exterior celular y cuyos productos catalíticos son introducidos hacia el citosol por transportadores específicos, entre estos la maltosa.
Una vez en el citosol, enzimas como la amilomaltasa, la maltodextrina fosforilasa y la glucoquinasa participan en el metabolismo posterior de este disacárido, rindiendo moléculas como glucosa 1-fosfato y glucosa 6-fosfato, que ingresan a la glucólisis.
Referencias
- Badui Dergal, S. Química de los alimentos. México, Pearson Educación.
- Crow, R.R., Kumar, S., Varela, M.F. Maltose Chemistry and Biochemistry. In Dietary Sugars.
- Doudoroff, M., Hassid, W.Z., Putman, E.W., Potter, A.L., Lederberg, J. Direct utilization of maltose by Escherichia coli. Journal of Biological Chemistry.
- Ouellette, R.J., Rawn, J.D. Organic chemistry: structure, mechanism, and synthesis. Elsevier.
- Stick, R.V., Williams, S. Carbohydrates: the essential molecules of life. Elsevier.
