Skip to content
Lifeder

Lifeder

Ciencia, Educación, Cultura y Estilo de Vida

  • Ciencia
    • Biología
      • Anatomía y fisiología
      • Animales
      • Biología celular
      • Botánica
      • Genética
      • Organismos
    • Física
    • Matemáticas
    • Medio ambiente
    • Química
    • Psicología
  • Humanidades
    • Administración y economía
    • Arte
    • Derecho
    • Filosofía
    • Historia
    • Lengua y literatura
  • Cultura general y sociedad
    • Tecnología
  • Frases
    • Frases de autores
    • Frases de temas
Ciencia » Física » Dirección (física)

Dirección (física)

¿Qué es la dirección?

La dirección en física es la línea establecida que recorre un cuerpo u objeto cuando se encuentran realizando un movimiento. La dirección es de suma importancia específicamente en los experimentos de la mecánica, ya que en la misma se estudia el movimiento de un cuerpo y hacia dónde se mueve (tomando en consideración la variable temporal).

En el campo de la física, la dirección forma parte de los elementos del movimiento, ya que representa la recta sobre la que descansa el objeto o cuerpo que se mueve.

La dirección de un cuerpo puede variar de izquierda a derecha, de derecha a izquierda, de arriba hacia abajo o viceversa. Si dibujamos una flecha hacia arriba, decimos que la dirección de la misma tiene un ángulo de 90° con respecto al punto de inicio.

La dirección y los vectores

Como se mencionó previamente, la dirección está estrictamente relacionada con el movimiento y la podemos encontrar en el elemento conocido como Vector de desplazamiento.

La dirección forma parte de los vectores y por ende es necesario saber exactamente qué son y cómo trabajan. Es común confundir la dirección de un vector con el sentido de este. La dirección es simplemente el camino a tomar del vector y el sentido es hacia dónde se dirige.

Un ejemplo más claro de esto sería:

Si un tren va en el riel derecho, esa sería su dirección.

Por otra parte, si el tren decide ir hacia delante o hacia atrás en ese mismo riel, eso se tomaría como el sentido del mismo.

Un vector es una magnitud en el sistema de referencia que consta de un módulo y una dirección.

Puede servirte:   Electrodinámica

Los vectores pueden están dirigidos a los puntos cardinales como lo son Norte, Sur, Este y Oeste (formando una especie de cruz), pero al mismo tiempo es posible que la dirección de un vector se dirija al Noreste (una línea diagonal).

Características de la dirección de los vectores

La dirección de un vector puede definirse también como camino tomado por una recta o cualquier recta paralela contenida en un vector. Existen 2 características básicas respecto a la dirección de un vector:

– La dirección de los vectores se miden desde el punto inicial hacia los puntos cardinales y la medida de la misma puede expresarse por medio del sistema de ángulos.

– La dirección de los vectores se calcula siguiendo el sentido contrario a las agujas del reloj desde el punto de inicio hacia los puntos cardinales. Un ejemplo de esto sería si el vector rota 30°. Entonces se habrá movido 30° al sentido contrario de las agujas del reloj.

Ecuaciones para hallar la dirección de un vector

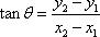
Existen muchas formas para poder calcular la dirección hacia la que un vector se dirige. A continuación se presenta dos de las más comunes utilizadas en los experimentos físicos:

, donde x es el cambio horizontal e y es el cambio vertical.

, donde (x 1 , y 1) es el punto inicial y ( x 2 , y 2 ) es el punto terminal.

En resumen, la dirección es por donde va o se ubica el objeto, cuerpo o vector.

Referencias

  1. Magnitude and Direction of a Vector. Recuperado de www.mathwarehouse.com
  2. Vector Direction and Bearing. Recuperado de www.problemsphysics.com

Cita este artículo

Lifeder. (18 de agosto de 2022). Dirección (física). Recuperado de: https://www.lifeder.com/direccion-en-fisica/.

Compartir

Por Alberto Cajal

Licenciado en Magisterio. Maestro de Instituto. Me encanta leer, la ciencia y escribir sobre lo que conozco y sobre cosas nuevas que aprender.
Última edición el 18 de agosto de 2022.

Índice

Ver también

Lee también

Los 8 Elementos de la Dirección Empresarial Más Destacados
Alta dirección
Principios de la dirección, según Henri Fayol
Los 31 Tipos de Fuerza en Física y sus Características
¿Qué es la divisibilidad en física?
Potencia (física)
Adherencia física
Óptica física
Valle en física
Trayectoria en física
Historia de la física desde su orígen hasta la actualidad
Experimentos de Física fáciles de hacer (Primaria-Universidad)
  • Términos y Condiciones
  • Política de Privacidad y Política de Cookies
  • ¿Quiénes somos?
  • Contacto

© Lifeder 2026 | All Rights reserved.