
¿Qué son las fosfolipasas?
Las fosfolipasas son enzimas que catalizan la hidrólisis de los fosfolípidos. Estos son los más abundantes e importantes lípidos de las membranas de todos los organismos celulares y cumplen funciones tanto estructurales como metabólicas y de señalización.
Los fosfolípidos son moléculas químicas de naturaleza anfipática, es decir, poseen un extremo polar hidrofílico y otro apolar hidrofóbico.
El extremo polar está formado por las moléculas asociadas al grupo fosfato de una molécula de diacilglicerol 3-fosfato. El extremo apolar está conformado por las dos cadenas alifáticas que están esterificadas a la molécula de glicerol a través de los carbonos en las posiciones C-1 y C-2.
Las fosfolipasas actúan hidrolizando cualquiera de los cuatro enlaces éster que unen a las cadenas alifáticas, al grupo fosfato o a los grupos “cabeza” que identifican a cada tipo de fosfolípido.
Los productos de su acción enzimática corresponden a lisofosfolípidos, diacilgliceroles o ácidos fosfatídicos, que también pueden ser sustrato para otras enzimas fosfolipasas o lipasas en general.
Existen en la mayor parte de las células como proteínas secretadas, proteínas transmembranales o como enzimas intracelulares con múltiples y variadas funciones, entre las que destaca su participación en las cascadas de señalización.
Estructura de las fosfolipasas
Algunas fosfolipasas, como las fosfolipasas A, están entre las enzimas más pequeñas descritas, con pesos entre 13 y 15 kDa, mientras que otras, como las fosfolipasas C y D, superan los 100 kDa.
Dependiendo del tipo de fosfolipasa que se considere, estas pueden ser proteínas solubles o proteínas integrales de membrana, lo que condiciona enormemente las características de sus secuencias aminoacídicas y sus arreglos estructurales.
Algunas de estas enzimas tienen sitios específicos en su estructura para la unión de cationes divalentes como el calcio, que parecen tener funciones importantes en su actividad catalítica.
Muchas de estas enzimas son sintetizadas como zimógenos (precursores inactivos) que requieren de la acción proteolítica de otras enzimas para su activación. Su actividad es regulada por muchos factores celulares.
Funciones de las fosfolipasas
- Mantenimiento de la integridad de la membrana. En las membranas celulares, los fosfolípidos son esenciales para su estructura y función. Las fosfolipasas pueden remodelar las membranas al hidrolizar fosfolípidos específicos. Esto es vital para mantener la fluidez y la permeabilidad de la membrana, y para responder a señales celulares.
- Liberación de mediadores lipídicos. Algunas fosfolipasas, como la fosfolipasa A2, liberan ácidos grasos, como el ácido araquidónico, a partir de los fosfolípidos de membrana. Estos ácidos grasos liberados pueden servir como precursores para la síntesis de eicosanoides, que son mediadores lipídicos involucrados en respuestas inflamatorias y de señalización.
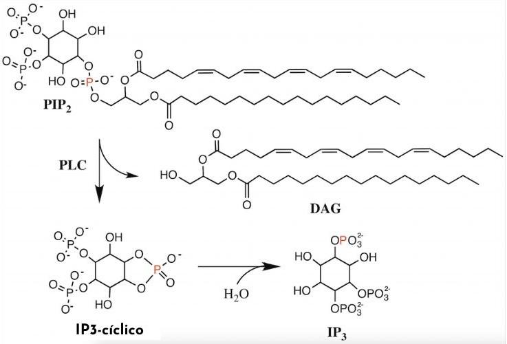
- Regulación de la señalización celular. También están involucradas en vías de señalización celular. Por ejemplo, la fosfolipasa C (PLC) participa en la vía de señalización del fosfatidilinositol bifosfato (PIP2), liberando el inositol trifosfato (IP3) y el diacilglicerol (DAG) como segundos mensajeros que desencadenan respuestas celulares.
- Respuesta inmunitaria. Algunas fosfolipasas están relacionadas con la respuesta inmunitaria. Por ejemplo, la fosfolipasa A2 secretada por células inmunológicas puede desempeñar un papel en la respuesta inflamatoria y en la defensa contra patógenos.
- Liberación de neurotransmisores. En las sinapsis neuronales, la fosfolipasa D (PLD) participa en la liberación de neurotransmisores. Estas enzimas pueden ayudar a regular la comunicación entre neuronas al desencadenar la exocitosis de vesículas sinápticas.
- Modulación de la coagulación sanguínea. Algunas fosfolipasas, como la fosfolipasa A1 y la fosfolipasa A2, están involucradas en la cascada de coagulación sanguínea, donde participan en la activación de factores de coagulación y la formación de trombos.
- Participación en procesos patológicos. En algunos trastornos y enfermedades, como la artritis reumatoide, la aterosclerosis y ciertos tipos de cáncer, las fosfolipasas pueden estar desreguladas y contribuir a la patología.
Tipos de fosfolipasas
Existen dos conjuntos principales de fosfolipasas: las acil-hidrolasas y las fosfodiesterasas. La clasificación dentro de cada conjunto se basa en la posición del corte hidrolítico que estas realizan sobre los diferentes enlaces éster que unen las “piezas” de los fosfolípidos sobre los que actúan.
No son estrictamente específicas respecto al tipo de fosfolípido (de acuerdo a la identidad del grupo polar o a sus cadenas hidrocarbonadas) sino más bien respecto a la posición de los enlaces en el esqueleto del glicerol 3-fosfato o 1,2-diacilglicerol 3-fosfato.
Las fosfolipasas A y B pertenecen al conjunto de las acil-hidrolasas, mientras que las fosfolipasas C y D pertenecen a las fosfodiesterasas.
- Fosfolipasa A. Este grupo de fosfolipasas se encarga de la hidrólisis de los acil-ésteres que están unidos a los carbonos en las posiciones C-1 y C-2 de la molécula de diacilglicerol. Se conocen como fosfolipasas A1, a las que hidrolizan los enlaces éster entre la cadena alifática y el carbono 1 y A2, a las que hidrolizan los enlaces éster entre la cadena alifática y el carbono 2 del glicerol. Las fosfolipasas A1 son generalmente proteínas intracelulares, de gran tamaño y asociadas generalmente con la membrana plasmática. Las fosfolipasas A2, por el contrario, son proteínas extracelulares estables, de muy pequeño tamaño y solubles en agua. Las primeras fosfolipasas descritas fueron las del tipo A2, obtenidas a partir de jugos pancreáticos de mamíferos y del veneno de serpientes cobra.
- Fosfolipasa B. Las enzimas pertenecientes a este grupo pueden hidrolizar los enlaces éster entre cualquiera de las dos cadenas de ácidos grasos de un fosfolípido (en la posición C-1 y en la C-2) y también pueden actuar sobre lisofosfolípidos. Se han encontrado en muchas especies de microbios, protozoarios y células de mamíferos y son parte de los factores de virulencia de muchos hongos patogénicos.
- Fosfolipasas C y D. Las enzimas pertenecientes a este grupo se encargan de la hidrólisis de los enlaces fosfodiéster entre la molécula de glicerol y el grupo fosfato (fosfolipasa C) produciendo 1,2-diacilgliceroles, y entre el grupo fosfato y el grupo polar unido a este (fosfolipasa D), produciendo ácidos fosfatídicos. La fosfolipasa C fue purificada por primera vez en el medio de cultivo de muchos tipos de bacterias, pero se encuentra en una gran diversidad de células de mamíferos. La mayor parte de estas enzimas actúan preferencialmente sobre la fosfatidilcolina, pero muestran actividad frente a otros fosfolípidos, como el fosfatidilinositol. La fosfolipasa D ha sido muy estudiada en tejidos vegetales como el repollo, las semillas de algodón, maíz, etc. No obstante, también ha sido detectada en mamíferos y algunos microorganismos. Son enzimas de gran tamaño, por lo general de más de 100 kDa de peso molecular.
- Fosfolipasas L o llsofosfolipasas. Estas son las enzimas encargadas de la hidrólisis de los ácidos grasos unidos a los lisofosfolípidos (fosfolípidos sobre los cuales ha actuado una fosfolipasa A, por ejemplo, y que tienen una sola cadena de ácido graso unida). Se conocen como fosfolipasas L1 y fosfolipasas L2, dependiendo de cuál sea el átomo de carbono de la molécula de glicerol sobre el que actúen. Estas enzimas han sido purificadas a partir de muchos microorganismos, del veneno de algunos insectos, de células eosinófilas y de muchos tejidos de mamíferos diferentes.
Referencias
- Aloulou, A., Rahier, R., Arhab, Y., Noiriel, A., & Abousalham, A. Phospholipases: An Overview (2nd ed.). Humana Press.
- Dennis, E. A. Phospholipases. In The Enzymes Vol. XVI. Academic Press, Inc.
- Mackness, M., & Clerc, M. Esterases, Lipases, and Phospholipases: From Structure to Clinical Significance. Bordeaux: Springer Science + Business Media, LLC.
- Rawn, J. D. Biochemistry. Neil Patterson Publishers.
- Van Deenen, L., & de Haas, G. Phosphoglycerides and Phospholipases. Annu. Rev. Biochem.