
¿Qué es el teorema de Torricelli?
El teorema de Torricelli, o principio de Torricelli, afirma que la velocidad del líquido que sale por el orificio en la pared de un tanque o recipiente, es idéntica a la que adquiere un objeto que se deja caer libremente desde una altura igual a la de la superficie libre del líquido hasta el orificio. El teorema se ilustra en la imagen superior.
Debido al teorema de Torricelli, podemos afirmar entonces que la velocidad de salida del líquido por un orificio que está a altura h por debajo de la superficie libre del líquido viene dada por la siguiente fórmula:

Donde g es la aceleración de gravedad y h es la altura que hay desde el orificio hasta la superficie libre del líquido.
Evangelista Torricelli fue un físico y matemático nacido en Faenza, Italia, en 1608. A Torricelli se le atribuye la invención del barómetro de mercurio, y como reconocimiento hay una unidad de presión llamada “torr”, equivalente a un milímetro de mercurio (mm de Hg).
Demostración del teorema
En el teorema de Torricelli y en la fórmula que da la velocidad, supone que las pérdidas por viscosidad son despreciables, al igual que en la caída libre se supone que la fricción debida al aire que circunda al objeto que cae es insignificante.
La suposición anterior es razonable en la mayoría de los casos, y además implica la conservación de la energía mecánica.
Para demostrar el teorema, en primer lugar encontraremos la fórmula de la velocidad para un objeto que se suelta con rapidez inicial cero, desde la misma altura que la superficie líquida en el depósito.
Se aplicará el principio de conservación de la energía para obtener la velocidad del objeto que cae justo cuando haya descendido una altura h igual a la que hay desde el orificio hasta la superficie libre.
Como no hay pérdidas por fricción, es válido aplicar el principio de conservación de la energía mecánica. Supongamos que el objeto que cae tiene masa m y la altura h se mide desde el nivel de salida del líquido.
Objeto que cae
Cuando el objeto se suelta desde una altura igual a la de la superficie libre del líquido, su energía es solo potencial gravitatoria, ya que su rapidez es cero y, por tanto, su energía cinética es nula. La energía potencial Ep está dada por:
Ep = m g h
Cuando va pasando frente al orificio, su altura es cero, entonces la energía potencial es cero, por lo que solo tiene energía cinética Ec dada por:
Ec = ½ m v2
Dado que la energía se conserva Ep = Ec de lo que se obtiene:
½ m v2 = m g h
Despejando la rapidez v se obtiene entonces la fórmula de Torricelli:

Líquido que sale por el orificio
A continuación, encontraremos la velocidad de salida del líquido a través del orificio, con el fin de demostrar que coincide con la que recién se calculó para un objeto que cae libremente.
Para esto nos basaremos en el principio de Bernoulli, que no es más que la conservación de la energía aplicada a fluidos.
El principio de Bernoulli se formula así:

La interpretación de esta fórmula es la siguiente:
- El primer término representa la energía cinética del fluido por unidad de volumen.
- El segundo representa el trabajo realizado por la presión por unidad de área transversal.
- El tercero representa la energía potencial gravitacional por unidad de volumen de fluido.
Como partimos de la premisa que se trata de un fluido ideal, en condiciones no turbulentas, con velocidades relativamente bajas, entonces es pertinente afirmar que la energía mecánica por unidad de volumen en el fluido es constante en todas las regiones o secciones transversales del mismo.
En esta fórmula V es la velocidad del fluido, ρ la densidad del fluido, P la presión y z la posición vertical.
En la imagen que aparece más abajo se demuestra la fórmula de Torricelli partiendo del principio de Bernoulli.
Aplicamos la fórmula de Bernoulli en la superficie libre del líquido que denotamos por (1), y en el orificio de salida que denotamos por (2). El nivel de altura cero se ha elegido a ras con el orificio de salida.
Bajo la premisa de que la sección transversal en (1) es mucho mayor que en (2), podemos suponer entonces que la velocidad de descenso del líquido en (1) es prácticamente despreciable.
Por esto se ha colocado V1=0, la presión a la que está sometida el líquido en (1) es la presión atmosférica y la altura medida desde el orificio es h.
Para la sección de salida (2) suponemos que la velocidad de salida es v, la presión a la que está sometida el líquido a la salida también es la presión atmosférica y la altura de salida es cero.
Se sustituyen los valores correspondientes a las secciones (1) y (2) en la fórmula de Bernoulli y se igualan. La igualdad tiene validez porque suponemos que el fluido es ideal y no hay pérdidas por fricción viscosa. Una vez simplificados todos los términos, se obtiene la velocidad en el orificio de salida.

El recuadro anterior demuestra que el resultado obtenido es el mismo que el de un objeto que cae libremente,
con lo que queda demostrado el principio de Torricelli.
Ejercicios resueltos del teorema de Torricelli
Ejercicio 1
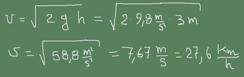
I) El pequeño tubo de salida de un tanque de agua está a 3 m por debajo de la superficie del agua. Calcule la velocidad de salida del agua.
Solución:
En la figura siguiente se muestra cómo se aplica la fórmula de Torricelli a este caso.

Ejercicio 2
II) Suponiendo que el tubo de salida del tanque del ejercicio anterior tiene un diámetro de 1 cm, calcule el caudal de salida de agua.
Solución:
El caudal es el volumen de líquido que sale por unidad de tiempo, y se calcula simplemente multiplicando el área del orificio de salida por la velocidad de salida.
La siguiente figura muestra los detalles del cálculo.

Ejercicio 3
III) Determine a qué altura está la superficie libre del agua en un recipiente, si se sabe que en un orificio en el fondo del recipiente el agua sale a 10 m/s.
Solución:
Aun cuando el orificio está en el fondo del recipiente, puede seguirse aplicando la fórmula de Torricelli.
La siguiente figura muestra el detalle de los cálculos.

Referencias
- Teorema de Torricelli. Recuperado de es.wikipedia.org.
- Hewitt, P. Conceptual Physical Science. Fifth edition.
- Young, Hugh. Sears-Zemansky’s University Physics with Modern Physics. 14th Ed. Pearson.