
¿Qué son los acilglicéridos?
Los acilglicéridos, o acilgliceroles, son lípidos simples, como las ceras (céridos). Se forman a partir de una reacción de esterificación, estando constituidos por una molécula de glicerina (propanotriol), a la cual están unidos de uno a tres ácidos grasos (grupos acilo).
Los acilglicéridos se incluyen dentro de los lípidos saponificables, al igual que otros lípidos simples como los céridos, y algunos más complejos, como los fosfoglicéridos y esfingolípidos.
Químicamente, los lípidos saponificables son ésteres de un alcohol y varios ácidos grasos. La saponificación constituiría la hidrólisis de un grupo éster, lo que trae como resultado la formación de un ácido carboxílico y un alcohol.
Características de los acilglicéridos
– Físicas. Los acilglicéridos son sustancias oleosas al tacto.
– Solubilidad. Son insolubles en el agua y menos densas. Sin embargo, son solubles en muchos disolventes orgánicos como el alcohol, acetona, éter o cloroformo.
– Diversos tipos. Estos lípidos pueden estar en estado líquido o ser sólidos con un punto de fusión moderado. Según este criterio se pueden reconocer aceites (líquidos a temperatura ambiente), mantecas (sólidas que funden por debajo de los 42 °C) y sebos que funden por encima de la temperatura mencionada para las mantecas.
– Origen. Los aceites, predominantemente, tienen su origen en los tejidos vegetales, teniendo como mínimo en su estructura algún ácido graso con insaturaciones. Por otro lado, los sebos y mantecas son de origen animal. Los sebos se caracterizan por conformarse de manera exclusiva por ácidos grasos saturados. En contraste, las mantecas están formadas por una combinación de ácidos grasos saturados e insaturados. Estos últimos más complejos que en los aceites, lo que les da un estado sólido y un punto de fusión más elevado.
Estructura de los acilglicéridos
La glicerina es un alcohol que tiene tres grupos -OH. En cada uno de ellos puede ocurrir una reacción de esterificación. El -H del grupo carboxilo de un ácido graso se une a un grupo -OH de la glicerina, dando origen a una molécula de agua (H₂O) y a un acilglicérido.
Los ácidos grasos, como componentes de los acilgliceroles, tienen características similares entre sí. Son monocarboxilados, constan de una cadena alquílica (hidrocarbonada), apolar y sin ramificaciones, y un grupo carboxilo (-COOH) polar ionizable (-COO– +H+).
Por esta razón, las moléculas lipídicas son anfipáticas o hidrofóbicas, formando monocapas, bicapas o micelas en un medio acuoso. Normalmente, contienen un número par de átomos de C, siendo los más comunes de 14-24 pares de átomos de carbono, predominando los de 16 C a 18 C. Además, pueden ser saturados o contener insaturaciones (dobles enlaces).
Los ácidos grasos que intervienen en la formación de acilgliceroles son muy diversos. Sin embargo, los más importantes y abundantes son el ácido butírico (con 4 átomos de carbono), el ácido palmítico (con 16 átomos de carbono), el ácido esteárico (con 18 átomos de carbono) y el ácido oleico (18 carbonos y con una insaturación).
Nomenclatura
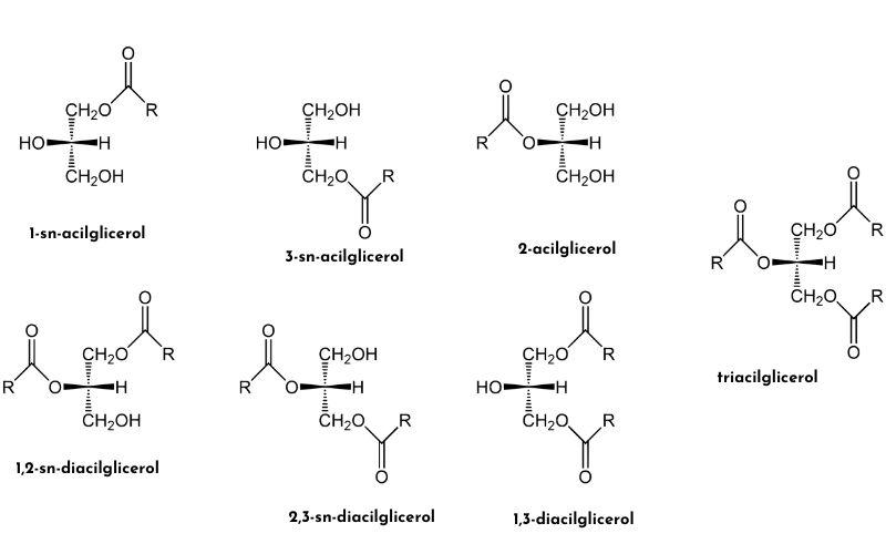
La nomenclatura de los glicéridos requiere enumerar los carbonos del glicerol. En el C-2 no hay ambigüedad, pero sí en C-1 y C-3. En efecto, estos carbonos aparecen como equivalentes, pero basta que exista un sustituyente en uno de ellos para que desaparezca el plano de simetría y, en consecuencia, se da la posibilidad de que existan isómeros.
Es por esta razón que se ha convenido enumerar el C-2 del glicerol con el hidroxilo hacia la izquierda (L-glicerol). El carbono superior recibe el número 1 y el inferior el número 3.
Tipos de acilglicéridos
De acuerdo al número de -OH del glicerol sustituido, se distinguen los monoacilgliceroles, diacilgliceroles y triacilgliceroles.
- Monoacilgliceroles. Hay monoacilgliceroles si intervine un solo ácido graso en la esterificación. Son precursores de los triacilgliceroles.
- Diacilgliceroles. Si dos grupos -OH de la glicerina son esterificados por ácidos grasos. También son precursores de los triacilgliceroles. Tanto los monoacilgliceroles como los diacilgliceroles se utilizan en la industria alimenticia para la producción de comestibles más homogéneos y de mayor facilidad de procesamiento y tratamiento.
- Triacilgliceroles. 3 ácidos grasos se unen a la estructura de la glicerina, es decir, a todos sus grupos -OH.
Los ácidos grasos unidos al glicerol pueden ser la misma molécula, pero lo más frecuente es que sean ácidos grasos distintos. Estas moléculas presentan diferente polaridad, ya que esta depende de la existencia de grupos -OH libres en el glicerol. Solo conservan cierta polaridad los monoacilglicéridos y los diacilglicéridos con 1 y 2 grupos -OH libres.
En contraste, en los triacilglicéridos no hay -OH libres por la unión de tres ácidos grasos y no tienen polaridad, por lo que también reciben el nombre de grasas neutras.
Funciones de los acilglicéridos
Los aceites y las grasas naturales son mezclas bastante complejas de triglicéridos, incluyendo pequeñas cantidades de otros lípidos, como fosfolípidos y esfingolípidos. Tienen varias funciones, entre las que destacan:
- Almacenamiento de energía. Este tipo de lípidos constituye aproximadamente el 90% de los que ingresan en nuestra dieta y representan la principal fuente de energía almacenada. Al estar constituidos por glicerol y ácidos grasos (por ejemplo, ácido palmítico y oleico), su oxidación, al igual que en los carbohidratos, conlleva la producción de CO₂ y H₂O, además de mucha energía. Al almacenarse en un estado anhidro, las grasas pueden generar de dos a seis veces energía que los carbohidratos y proteínas en igual cantidad de peso seco. Por esta razón, constituyen una fuente de energía a largo plazo. En animales que hibernan, son la principal fuente de energía de sostén. El almacenaje de estas moléculas con gran energía aprovechable en el metabolismo ocurre en los adipocitos. Gran parte del citoplasma de estas células contiene grandes acumulaciones de triacilgliceroles. En ellas también ocurre biosíntesis y constituyen el transporte de dicha energía a los tejidos que la requieren usando el sistema circulatorio como vía. En el metabolismo lipídico, la oxidación de un ácido graso libera bastante energía en cada ciclo de β-oxidación, proporcionando cantidades de ATP enormes comparadas con la glucosa. Por ejemplo, la oxidación completa del ácido palmítico en la forma activada (palmitoil-CoA) genera casi 130 moléculas de ATP.
- Protección. Los adipocitos proporcionan barrera o protección mecánica en muchas zonas del cuerpo, donde se incluyen las superficies de contacto de la palma de las manos y las plantas de los pies. Además, funcionan como aislantes térmicos, físicos y eléctricos de los órganos presentes en la región abdominal.
- Formación de jabones. Por ejemplo, si consideramos la reacción de un triacilglicérido con una base (NaOH), el átomo de sodio se une al -O del grupo carboxilo del ácido graso, y el grupo -OH de la base se uniría a los átomos de C de la molécula de glicerina. De esa manera obtendríamos un jabón y una molécula de glicerina.
Referencias
- Garrett, R.H., Grisham, C.M. Biochemistry. 4th edition. Thomson Brooks/Cole.
- Devlin, T.M. Textbook of biochemistry: with clinical correlations. John Wiley & Sons, Inc.
- Nelson, D.L., Cox, M.M. Lehninger Principios de Bioquímica. 4ª edición. Ed Omega.
- Teijón Rivera, J.M., Garrido Pertierra, A., Blanco Gaitán, M.D., Olmo López, R., Teijón López, C. Bioquímica Estructural. Conceptos y Tests. 2da. Ed. Editorial Tébar.
- Voet, D., Voet, J.G. Bioquímica. Ed. Médica Panamericana.