
¿Qué es la carga axial?
La carga axial es la fuerza que va dirigida paralelamente al eje de simetría de un elemento que conforma una estructura. La fuerza o carga axial puede ser de tensión o de compresión. Si la línea de acción de la fuerza axial coincide con el eje de simetría que pasa por el centroide del elemento considerado, entonces se dice que es una carga o fuerza axial concéntrica.
Por el contrario, si se trata de una fuerza o carga axial paralela al eje de simetría, pero cuya línea de acción no está sobre el eje mismo, se trata de una fuerza axial excéntrica.
En la imagen superior las flechas amarillas representan fuerzas o cargas axiales. En un caso se trata de una fuerza de tensión concéntrica y en el otro estamos ante una fuerza de compresión excéntrica.
La unidad de medida de la carga axial en el sistema internacional SI es el Newton (N). Pero también con frecuencia se usan otras unidades de fuerza, como el kilogramo-fuerza (kg-f) y la libra fuerza (lb-f).
¿Cómo se calcula la carga axial?
Para calcular el valor de la carga axial en los elementos de una estructura se deben seguir los siguientes pasos:
- Hacer el diagrama de fuerza sobre cada elemento.
- Aplicar las ecuaciones que garanticen el equilibrio traslacional, es decir, que la sumatoria de todas las fuerzas sea nula.
- Considerar la ecuación de los torques o momentos de modo que se cumpla el equilibrio rotacional. En este caso la suma de todos los torques debe ser nula.
- Calcular las fuerzas, así como identificar las fuerzas o cargas axiales en cada uno de los elementos.
Relación de la carga axial con el esfuerzo normal
Se define el esfuerzo normal promedio como el cociente entre la carga axial dividida entre la sección transversal de área. Las unidades del esfuerzo normal en el Sistema Internacional SI son Newton sobre metro cuadrado (N/ m²) o Pascal (Pa). La siguiente imagen ilustra el concepto de esfuerzo normal para mayor claridad.
-

Esfuerzo normal. Fuente: elaboración propia
Ejercicios resueltos
Ejercicio 1
Considere una columna de hormigón cilíndrica de altura h y radio r. Suponga que la densidad del concreto es ρ. La columna no soporta ninguna carga adicional más que su propio peso y está apoyada sobre una base rectangular.
Encuentre el valor de la carga axial en los puntos A, B, C y D, los cuales están en las siguientes posiciones: A en la base de la columna, B a ⅓ de la altura h, C a ⅔ de la altura h y por último D en el extremo superior de la columna.
Determine también el esfuerzo normal promedio en cada una de estas posiciones. Tome los siguientes valores numéricos: h=3 m, r= 20 cm y ρ=2250 kg/m³
-

Columna cilíndrica. Fuente: elaboración propia
Solución
Peso total de la columna
El peso total W de la columna es el producto de su densidad por el volumen multiplicada por la aceleración de gravedad:
W= ρ∙h∙π∙r² ∙g = 8313 N
Carga axial en A
En el punto A la columna debe soportar todo su peso, por lo que la carga axial en este punto es de compresión, es igual al peso de la columna:
PA = W= 8313 N
Carga axial en B
Sobre el punto B estarán solo ⅔ de la columna, por lo que la carga axial en ese punto será de compresión y su valor ⅔ del peso de la columna:
PB = ⅔ W= 5542 N
Por encima de la posición C solo hay ⅓ de columna, por lo que su carga axial de compresión será ⅓ de su propio peso:
PC = ⅓ W= 2771 N
Carga axial en D
Por último, sobre el punto D que es el extremo superior de la columna, no hay ninguna carga, por lo que la fuerza axial en ese punto es nula.
PD= 0 N
Esfuerzos normales en cada una de las posiciones
Para determinar el esfuerzo normal en cada una de las posiciones se necesitará calcular la sección transversal de área A, que está dada por:
A= π∙r² = 0,126 m²
De este modo, el esfuerzo normal en cada una de las posiciones será el cociente entre la fuerza axial en cada uno de los puntos dividida entre la sección transversal de área ya calculada, que en este ejercicio es igual para todos los puntos por tratarse de una columna cilíndrica.
σ= P/A ; σA= 66,15 kPa ; σB= 44,10 kPa; σC= 22,05 kPa; σD= 0,00 kPa
Ejercicio 2
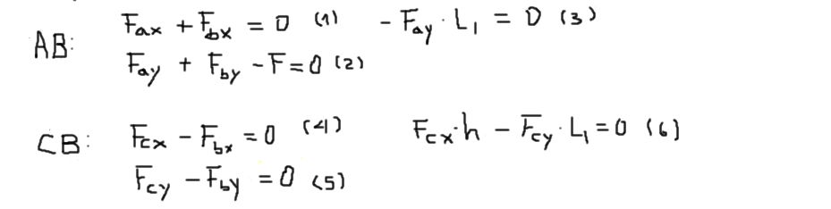
La figura muestra una estructura conformada por dos barras que denominaremos AB y CB. La barra AB está apoyada en el extremo A mediante un pasador y en el otro extremo, conectada a la otra barra mediante otro pasador B.
De igual manera, la barra CB está apoyada en el extremo C por medio de un pasador y en el extremo B con el pasador B que la une a la otra barra. Sobre el pasador B se aplica una fuerza o carga vertical F tal como muestra la imagen siguiente:
-

Estructura de dos barras y diagrama de cuerpo libre. Fuente: elaboración propia
Suponga despreciable el peso de las barras, ya que la fuerza F= 500 kg-f es mucho mayor que el peso de la estructura. La separación entre los apoyos A y C es h= 1,5 m y la longitud de la barra AB es L1= 2 m. Determine la carga axial en cada una de las barras, indicando si se trata de carga axial de compresión o de tensión.
Solución
La figura muestra, mediante un diagrama de cuerpo libre, las fuerzas que actúan sobre cada uno de los elementos de la estructura. También se indica el sistema de coordenadas cartesianas con el que se plantearán las ecuaciones de equilibrio de fuerzas.
Los torques o momentos se calcularán en el punto B y se considerarán positivos si apuntan hacia fuera de la pantalla (eje Z). El equilibrio de fuerzas y torques para cada barra es:

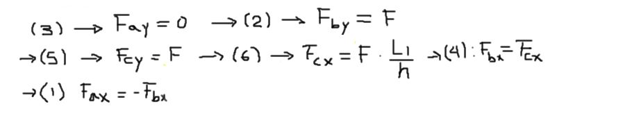
A continuación se despejan las componentes de las fuerzas de cada una de las ecuaciones siguiendo el siguiente orden:

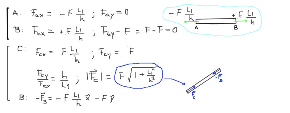
Por último se calculan las fuerzas resultantes en los extremos de cada barra:
Puede notarse que las fuerzas en los extremos de cada una de las barras resultan paralelas a las mismas, lo que confirma que se trata de fuerzas o cargas axiales. En el caso de la barra AB, se trata de una fuerza axial de tensión cuyo valor es:
F∙(L1/h)= 500 kg-f∙(2,0 m/1,5 m)= 666,6 kg-f= 6533,3 N
La barra CB se encuentra en compresión debido a las dos fuerzas que actúan en sus extremos que son paralelas a la barra y están apuntando hacia su centro. La magnitud de la fuerza axial de compresión en la barra CB es:
F∙(1+L1²/h² )1/2 = 500 kg-f∙(1 + (2/1,5)² )1/2= 833,3 kg-f= 8166,6 N
Referencias
- Beer, F. Mecánica de materiales. 5ta. Edición. Mc Graw-Hill.
- Hibbeler, R. Mecánica de materiales. Octava edición. Prentice Hall.
- Gere, J. Mecánica de materiales. Octava edición. Cengage Learning.
- Giancoli, D. Physics: Principles with Applications. 6th Ed. Prentice Hall.
- Valera Negrete, J. Apuntes de Física General. UNAM.