Skip to content
Lifeder

Lifeder

Ciencia, Educación, Cultura y Estilo de Vida

  • Ciencia
    • Biología
      • Anatomía y fisiología
      • Animales
      • Biología celular
      • Botánica
      • Genética
      • Organismos
    • Física
    • Matemáticas
    • Medio ambiente
    • Química
    • Psicología
  • Humanidades
    • Administración y economía
    • Arte
    • Derecho
    • Filosofía
    • Historia
    • Lengua y literatura
  • Cultura general y sociedad
    • Tecnología
  • Frases
    • Frases de autores
    • Frases de temas
Ciencia » Biología » Heteropolisacáridos

Heteropolisacáridos

Estructura química del ácido hialurónico, un heteropolisacárido. Fuente: Ed (Edgar181), Wikimedia Commons

¿Qué son los heteropolisacáridos?

Los heteropolisacáridos, o heteroglicanos, son un grupo de carbohidratos complejos clasificados dentro del grupo de los polisacáridos, donde se incluyen todos los carbohidratos que están compuestos por más de 10 unidades de monosacáridos de distintos tipos de azúcares.

La mayoría de los heteropolisacáridos que son sintetizados en la naturaleza contienen usualmente solo dos monosacáridos diferentes. Pero los heteropolisacáridos sintéticos generalmente poseen tres o más unidades de monosacáridos diferentes.

Los heteropolisacáridos son macromoléculas que cumplen funciones esenciales para la vida. Están compuestas por múltiples monómeros de azúcares (monosacáridos) diferentes, unidos repetitivamente entre sí por enlaces glucosídicos de varios tipos.

Entre los carbohidratos complejos que se encuentran con mayor frecuencia en la naturaleza están la hemicelulosa, las pectinas y el agar-agar, y la mayoría de estos son polisacáridos de interés comercial para las industrias alimenticias.

En el contexto médico, los heteropolisacáridos más estudiados han sido los del tejido conectivo, los de los grupos sanguíneos, aquellos asociados con las glucoproteínas, como la γ-globulina y los glucolípidos que recubren las neuronas en el sistema nervioso central.

Con el tiempo y los avances científicos, se han desarrollado distintas técnicas para el estudio de los heteropolisacáridos que, generalmente, implican su descomposición en sus monosacáridos constituyentes y su análisis individual.

Dichas técnicas de separación son diferentes para cada glúcido y dependen de las características físicas y químicas de cada carbohidrato. No obstante, las cromatografías son las técnicas más empleadas para el análisis de los heteropolisacáridos.

Características de los heteropolisacáridos

– Composición. Los heteropolisacáridos son polímeros lineales o ramificados compuestos por unidades repetidas de dos o más monosacáridos diferentes. Hay que tener en cuenta que estos monosacáridos pueden o no estar en la misma proporción.

Puede servirte:   ¿Qué es la nomenclatura binomial?

– Estructura. Los heteropolisacáridos tienen estructuras complejas, con una topología generalmente ramificada y, en su estado nativo, tienen una morfología asimétrica y un tanto amorfa.

– Enlaces entre unidades. Las unidades repetitivas que componen los heteropolisacáridos (monosacáridos, disacáridos u oligosacáridos) están unidas entre sí por enlaces α- o β-glucosídicos. En estas unidades, es común observar modificaciones o sustituciones como grupos metilo y acetilo y otros, especialmente en las ramificaciones.

– Asociación molecular. La asociación de determinadas moléculas con los heteropolisacáridos les puede conferir a estas últimas una carga neta, lo que tiene importantes funciones fisiológicas en diversos tipos de células.

– Carbohidratos bacterianos. Los heteropolisacáridos microbianos están compuestos por unidades repetidas de tres a ocho monosacáridos, que pueden ser lineales o ramificados. Generalmente, están compuestos por los monosacáridos D-glucosa, D-galactosa y L-ramnosa en diferentes proporciones. Se pueden conseguir, aunque en menor proporción, fucosa, manosa, ribosa, fructosa, monosacáridos y monosacáridos sustituidos con glicerol y otros.

Funciones de los heteropolisacáridos

  • Estructurales. Típicamente, los heteropolisacáridos funcionan como soportes extracelulares para los organismos de todos los reinos, desde las bacterias hasta los humanos. Estos azúcares, junto con las proteínas fibrosas, son los componentes más importantes de la matriz extracelular en los animales y de la lámina intermedia en las plantas.
  • Protección. Algunos heteropolisacáridos, como la heparina, tienen propiedades anticoagulantes que evitan los trombos. La heparina, por ejemplo, se halla en varios tejidos y actúa como un anticoagulante natural al inhibir la coagulación de la sangre.
  • Lubricación y amortiguación. Por ejemplo, el ácido hialurónico se conoce por su capacidad para retener agua, lo que ayuda a lubricar las articulaciones y aporta amortiguación entre ellas. Esto es fundamental para reducir la fricción y el desgaste articular.
  • Almacenamiento de energía. Ciertos heteropolisacáridos, como el glucosaminoglucano, pueden actuar como reservas energéticas en determinados tejidos. Estos polisacáridos pueden almacenar glucosa en forma de glucógeno en tejidos como el hígado y los músculos, para luego utilizarse en la producción de energía.
  • Reconocimiento celular. Los heteropolisacáridos de la superficie celular, como los glucosaminoglucanos (GAG), pueden estar implicados en procesos de reconocimiento celular y comunicación intercelular. Estos polisacáridos pueden interactuar con proteínas de la matriz extracelular y receptores celulares, desempeñando un papel en la adhesión celular, migración y señalización.
  • Regulación de la inmunidad y la respuesta inflamatoria. Algunos heteropolisacáridos, como los glucosaminoglucanos sulfatados, tienen capacidad de modular la actividad de citoquinas y mediadores inflamatorios, y con ello regular la respuesta inmune, lo que puede tener implicaciones en procesos inflamatorios y patológicos.
Puede servirte:   Homopolisacáridos

Ejemplos de heteropolisacáridos

  • Hemicelulosa. Este término engloba un grupo de heteropolisacáridos que incluyen en su estructura monosacáridos como glucosa, xilosa, manosa, arabinosa, galactosa y diversos ácidos urónicos. Sin embargo, las estructuras más comunes son polímeros lineales de xilanos y xiloglucanos unidos por enlaces β-1,4. Estos heteropolisacáridos son muy abundantes en la pared celular de los vegetales. Además, son solubles en soluciones alcalinas concentradas, y algunos tipos desarrollan una forma fibrilar donde actúan como agentes cementadores en el tejido vegetal.
  • Pectina. Las pectinas son polisacáridos propios de la lámina media entre las paredes celulares de origen primario en las plantas. Su componente principal es el ácido D-galacturónico unido por un enlace α-D-1,4, en el que algunos carboxilos pueden estar esterificados con grupos metilo. Este tipo de azúcar tiene la capacidad de polimerizarse fácilmente al contacto con ésteres metílicos y otros azúcares, como galactosa, rabinosa y ramnosa. Son ampliamente utilizados en la industria alimenticia para conferir firmeza a algunos productos como mermeladas, compotas y gomas azucaradas.
  • Heparina. Es un anticoagulante que se produce en la sangre y en varios órganos, como pulmones, riñones, hígado y bazo de los animales. Se compone de 12 a 50 repeticiones de ácido D-glucurónico o ácido L-idurónico y N-acetil-D-glucosamina. Las heparinas son polisacáridos del tipo glucosaminoglucanos con una fuerte carga negativa. Las heparinas tienen gran importancia industrial y se obtienen artificialmente a partir de ingeniería genética en bacterias, o naturalmente a partir de los pulmones del ganado o de las mucosas intestinales de los cerdos.
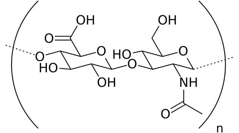
  • Ácido hialurónico. Este es uno de los fármacos más empleados en la industria de la estética como lubricante debido a sus propiedades viscosas, elásticas y reológicas. Se emplea como lubricante ocular, amortiguador en las articulaciones y para retrasar los procesos de envejecimiento, puesto que disminuye la actividad de las células en el ciclo celular. Es un polímero perteneciente al grupo de los glucosaminoglucanos y está compuesto por ácido-D-glucurónico y N-acetil-D-glucosamina, unidos entre sí por un enlace β-1,3. Se encuentra en casi todas las células de procariotas y eucariotas, especialmente en los tejidos conectivos y la piel de los animales.
Puede servirte:   Organismos heterótrofos

Referencias

  1. Delgado, L.L., Masuelli, M. Polysaccharides: Concepts and Classification. Evolution in Polymer Technology Journal.
  2. Huber, K.C., BeMiller, J.N. Carbohydrates. In Organic Chemistry. Elsevier Inc.
  3. Davison, E. Recuperado de britannica.com.
  4. Polysaccharides. Recuperado de umaine.edu.

Cita este artículo

Lifeder. (23 de febrero de 2024). Heteropolisacáridos. Recuperado de: https://www.lifeder.com/heteropolisacaridos/.

Compartir

Por Raquel Parada Puig

Licenciada en Biología. Estudiante de Maestría en Biología Celular.
Última edición el 23 de febrero de 2024.

Índice

Ver también

Lee también

Teoría del transformismo de Lamarck
12 Avances de la biología en los últimos 30 años
Los 4 Moluscos del Mar Peruano Más Comunes
Potencial biótico
Tiburón Submarino: Historia, ¿Realidad o Ficción?
Teoría fijista: concepto, postulados y autores
Mesénquima
Inmunoglobulina D
Tejido vascular
ARN ribosomal
Flora y fauna de Buenos Aires
Enzima
  • Términos y Condiciones
  • Política de Privacidad y Política de Cookies
  • ¿Quiénes somos?
  • Contacto

© Lifeder 2026 | All Rights reserved.