El terbutil o tertbutilo es un grupo o sustituyente alquílico cuya fórmula es –C(CH3)3 y deriva del isobutano. El prefijo tert– proviene de tertiary, debido a que el átomo de carbono central, con que este grupo se enlaza a una molécula, es terciario (3º); es decir, forma enlaces con otros tres carbonos.
El terbutilo quizás sea el grupo butílico de mayor importancia, por encima del isobutilo, n-butilo, y secbutilo. Este hecho se le atribuye a su tamaño voluminoso, el cual incrementa los impedimentos estéricos que afectan el modo en que una molécula participa en una reacción química.

En la imagen superior se tiene representado el grupo terbutilo, enlazado a una cadena lateral R. Esta cadena puede consistir de un esqueleto carbonado y alifático (aunque también puede ser aromático, Ar), un grupo funcional orgánico, o un heteroátomo.
El terbutil se asemeja a unas aspas de ventilador o a una pata de tres dedos. Cuando abarca gran parte de la estructura de una molécula, como en el caso del alcohol tertbutílico, se dice que el compuesto deriva de él; y si por el contrario, apenas es una fracción o fragmento de la molécula, se dice entonces que no es más que un sustituyente.
[toc]
Nomenclatura y formación

Al principio se aclaró cuál es la razón por la que a este grupo se le llama terbutil. Sin embargo, este es el nombre común por el que se le conoce.
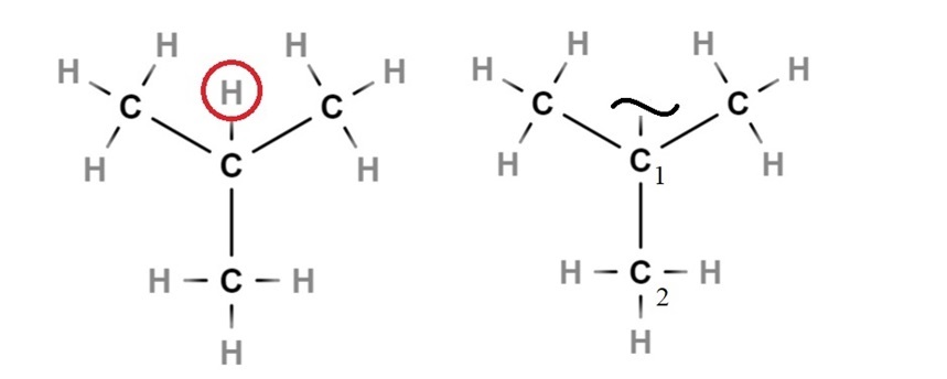
Su nombre regido por la antigua nomenclatura sistemática, y actualmente también por la nomenclatura IUPAC, es 1,1-dimetiletil. A la derecha de la imagen superior tenemos los carbonos enumerados, y puede verse efectivamente que dos metilos están enlazados al carbono 1.
Se dijo asimismo que el terbutil deriva del isobutano, el cual es el isómero estructural del butano más ramificado y simétrico.
Partiendo del isobutano (izquierda de la imagen), el carbono 3º central debe perder su único átomo de hidrógeno (en círculo rojo), rompiéndose su enlace C-H para que surja el radical terbutil, ·C(CH3)3. Cuando este radical logra enlazarse a una molécula o a una cadena lateral R (o Ar), se convierte en un sustituyente o grupo terbutílico.
De esta manera se obtiene, al menos en el papel, los compuestos con fórmula general RC(CH3)3 o Rt-Bu.
Estructura y características
El grupo terbutilo es alquílico, lo que significa que deriva de un alcano, y que consta solamente de enlaces C-C y C-H. Por consiguiente, es hidrofóbico y apolar. Pero estas no son sus características más resaltantes. Es un grupo que ocupa demasiado espacio, es voluminoso, y no es de extrañarse ya que tiene tres grupos CH3, grandes de por sí, enlazados a un mismo carbono.
Cada CH3 del –C(CH3)3 rota, vibra, aporta a su entorno molecular interacciones por fuerzas dispersivas de London. No bastando con uno, son tres CH3 los que rotan como si fueran las aspas de un ventilador, siendo todo el grupo terbutilo notablemente voluminoso cuando se le compara con otros sustituyentes.
Como consecuencia, aparece un impedimento estérico constante; esto es, una dificultad espacial para que dos moléculas puedan encontrarse e interaccionar efectivamente. El terbutilo afecta los mecanismos y el cómo procede una reacción química, la cual buscará tener lugar de tal modo que el impedimento estérico sea el menor posible.
Por ejemplo, los átomos cercanos a un –C(CH3)3 serán menos susceptibles a sufrir reacciones de sustitución; los CH3 impedirán que se aproxime la molécula o grupo que quiera incorporarse a la molécula.
Además de lo ya mencionado, el terbutilo tiende a ocasionar un descenso de los puntos de fusión y ebullición, reflejo de interacciones intermoleculares más débiles.
Ejemplos de terbutil
Se abordará a continuación una serie de ejemplos de compuestos donde está presente el terbutil. Estos se obtienen sencillamente variando las identidades de R en la fórmula RC(CH3)3.
Halogenuros
Sustituyendo a R por un átomo de halógeno, obtenemos los halogenuros de terbutilo. Así, tenemos sus respectivos fluoruro, cloruro, bromuro y yoduro:
-FC(CH3)3
-ClC(CH3)3
-BrC(CH3)3
-IC(CH3)3
De ellos, el ClC(CH3)3 y BrC(CH3)3 son los más conocidos, siendo solventes orgánicos y precursores de otros compuestos orgánicos clorados y bromados, respectivamente.
Alcohol terbutílico
El alcohol terbutílico, (CH3)COH o t-BuOH, es otro de los ejemplos más sencillos derivados del terbutilo, el cual además consiste del alcohol terciario más simple de todos. Su punto de ebullición es de 82 ºC, siendo el del alcohol isobutílico 108 ºC. Esto demuestra cómo la presencia de este grupo tan voluminoso, impacta negativamente sobre las interacciones intermoleculares.
Hipoclorito de terbutilo
Sustituyendo R por el hipoclorito, OCl– o ClO–, tenemos el compuesto hipoclorito de terbutilo, (CH3)3COCl, en el cual destaca por su enlace covalente C-OCl.
Isocianuro de terbutilo

Sustituyendo ahora R por el isocianuro, NC o -N≡C, tenemos el compuesto isocianuro de terbutilo, (CH3)3CNC o (CH3)3C-N≡C. En la imagen superior podemos apreciar su fórmula estructural. En ella sobresale a simple vista el terbutilo como un ventilador o una pata de tres dedos, pudiéndose confundir con el isobutilo (con forma de Y).
Acetato de terbutilo

Tenemos también el acetato de terbutilo, CH3COOC(CH3)3 (imagen superior), el cual obtenemos sustituyendo R por el grupo acetato. El terbutilo comienza a perder prioridad estructural porque está enlazado a un grupo oxigenado.
Diterbutileter

El diterbutileter (imagen superior) ya no puede ser descrito con la fórmula RC(CH3)3, por lo que el terbutilo en este caso se comporta simplemente como un sustituyente. La fórmula de este compuesto es (CH3)3COC(CH3)3.
Nótese que en su estructura los dos grupos o sustituyentes terbutilo se asemejan a dos patas, donde los enlaces O-C son las piernas de estas; un oxígeno con dos patas de tres dedos.
Hasta ahora los ejemplos expuestos han sido compuestos líquidos. Los últimos dos serán sólidos.
Buprofezina

En la imagen superior tenemos la estructura de la buprofezina, un insecticida, en donde en el extremo derecho podemos apreciar la “pata” del terbutilo. En la parte de abajo tenemos también al grupo isopropilo.
Avobenzona

Finalmente tenemos la avobenzona, ingrediente de los protectores solares debido a su alta capacidad de absorber las radiaciones UV. El terbutilo, nuevamente, se localiza a la derecha de la estructura por su similitud al de una pata.
El terbutilo es un grupo demasiado frecuente en muchos compuestos orgánicos y farmacéuticos. Su presencia altera el modo en que la molécula interacciona con su entorno, dado que es considerablemente voluminoso; y por lo tanto, repele a su paso todo lo que no sea alifático o apolar, como vienen a ser las regiones polares de las biomoléculas.
Referencias
- Morrison, R. T. y Boyd, R, N. (1987). Química Orgánica. 5ta Edición. Editorial Addison-Wesley Interamericana.
- Carey F. (2008). Química Orgánica. (Sexta edición). Mc Graw Hill.
- Graham Solomons T.W., Craig B. Fryhle. (2011). Organic Chemistry. (10th edition.). Wiley Plus.
- Wikipedia. (2020). Butyl Group. Recuperado de: en.wikipedia.org
- Steven A. Hardinger. (2017). Illustrated Glossary of Organic Chemistry: Tert-butyl. Recuperado de: chem.ucla.edu
- James Ashenhurst. (2020). t-butyl. Recuperado de: masterorganicchemistry.com