
Los segmentos rectilíneos que son posibles en todo polígono son las diagonales. Una diagonal es un segmento de recta que se traza uniendo dos vértices no adyacentes de un polígono. En otras palabras, las líneas diagonales comienzan en un vértice de la figura y terminan en otro que no esté al lado.
En la imagen de arriba se muestra, en trazo negro, la diagonal de un cuadrado, que como se aprecia, une dos esquinas opuestas.
Las diagonales del cuadrado miden lo mismo, pero en el rombo, sus dos diagonales son diferentes, hay una mayor, más larga, y otra menor, más corta.
¿Cómo calcular el número de diagonales de un polígono?
Determinar el número de diagonales de un polígono puede ser sencillo cuando se trata de un cuadrado o un rombo, pero a medida que aumenta el número de lados de una figura, se hace más complicado visualizar cuántas diagonales tiene.
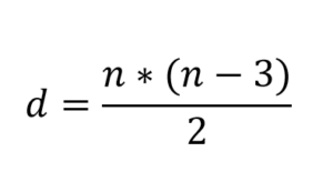
Es por esto que en matemática se emplea una sencilla fórmula que hará este proceso mucho más eficiente:

Se debe recordar que n es igual al número de lados del polígono, y n debe ser siempre mayor que 3. ¿Por qué? (sigue leyendo, la respuesta está al final).
Ejemplo 1
Calcular la cantidad de diagonales de un octógono.
El octógono es un polígono regular de ocho lados, esto quiere decir que todos sus lados y ángulos internos son iguales.
Utilizando la fórmula anterior, basta con sustituir n por ocho:

De esta forma se conoce que el número de diagonales que se pueden trazar a partir de los vértices de un polígono octógono es 20.
Sin la fórmula, probablemente sea engorroso tratar de contar todas las diagonales, aun disponiendo de un buen dibujo. Y cuanto mayor sea la cantidad de lados de la figura, más complicado será.
Ejemplo 2
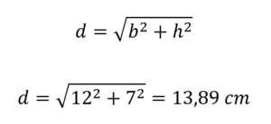
Calcular la longitud de la diagonal de un rectángulo con el teorema de Pitágoras.
El teorema de Pitágoras afirma que la suma de los cuadrados de los catetos de un triángulo rectángulo, llamados a y b, es igual al cuadrado de la hipotenusa (el lado opuesto al ángulo recto), llamado c.
En notación algebraica sería:
a2 + b2 = c2
La diagonal de un rectángulo forma un triángulo rectángulo, con lo cual podemos usar dicho teorema, donde b es la base y h es la altura.
Si la base es de 12 cm y la altura es de 7 cm, al sustituir resulta:

Por lo tanto, la longitud de la diagonal de dicho rectángulo es de 13,89 centímetros.
Un polígono sin diagonales
¿Es posible que exista un polígono que no tenga líneas diagonales? ¿Cómo sería?
Este acertijo puede utilizarse para disparar la curiosidad en los niños y hacerlos visualizar las diagonales de una figura:

Sí, el triángulo no tiene diagonales.
Explicación
El triángulo es un polígono de tres lados que posee tres ángulos internos. Pero los triángulos son figuras convexas que no tienen líneas diagonales, siendo los polígonos más simples y a la vez más fascinantes de la matemática.
Fijándose bien en la fórmula que permite calcular las diagonales de un polígono:

De inmediato se advierte que al sustituir n = 3, se obtiene como resultado d = 0. Es decir, los triángulos no tienen diagonales, no hay forma de trazar una. Pero los polígonos con n= 4, por ejemplo, tienen todos dos diagonales.