
¿Qué es la hemicelulosa?
Hemicelulosa es un término empleado para designar a un grupo muy diverso de polisacáridos presentes en las paredes celulares de muchas plantas y que representan más de un tercio de la biomasa de dichas estructuras.
El concepto fue propuesto por Johann Heinrich Schulze para designar los polisacáridos diferentes al almidón y en asociación con la celulosa, que eran extraíbles de las paredes celulares de las plantas superiores mediante el empleo de soluciones alcalinas.
Estos polisacáridos están compuestos por esqueletos glucanos unidos por enlaces β-1,4 que poseen diferentes sustituyentes glicosilados, capaces de interactuar entre sí y con las fibras de celulosa a través de puentes de hidrógeno (interacciones no covalentes).
A diferencia de la celulosa, que forma microfibras fuertemente empaquetadas, las hemicelulosas tienen estructuras más bien amorfas, solubles en soluciones acuosas.
Ya que más de un tercio del peso seco de las células vegetales corresponde a las hemicelulosas, mucho interés existe en la actualidad sobre la producción de biocombustibles y otros compuestos químicos mediante el procesamiento de estos polisacáridos.
Clasificación y estructura de la hemicelulosa
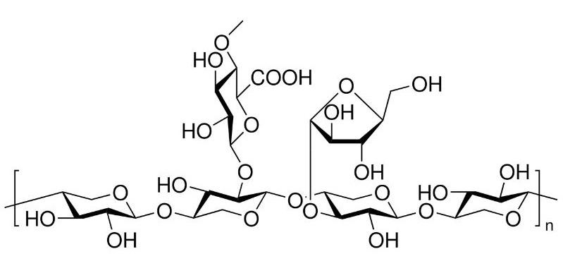
Las hemicelulosas se dividen actualmente en cuatro clases de moléculas estructuralmente diferentes: xilanos, D-mano glicanos, β-glucanos y xiloglucanos. Estos tipos de hemicelulosas tienen patrones de distribución y localización diferentes, además de otras diferencias importantes.
- Xilanos. Son los principales componentes hemicelulocíticos presentes en las paredes celulares secundarias de las plantas dicotiledóneas. Representan más del 25% de la biomasa de las plantas leñosas y herbáceas y cerca del 50% en algunas especies de monocotiledóneas. Los xilanos son heteropolímeros compuestos por D-xilopiranosas unidas mediante enlaces β-1,4, que pueden tener ramificaciones cortas. Este grupo se subdivide en homoxilanos y heteroxilanos, entre los que están los glucoronoxilanos y otros polisacáridos complejos. Estas moléculas pueden aislarse de diferentes fuentes vegetales: de la fibra de linaza, de la pulpa de remolacha, del bagazo de la caña de azúcar, del salvado de trigo y otras. Su peso molecular puede variar considerablemente, dependiendo del tipo de xilano y de la especie vegetal. El rango encontrado en la naturaleza usualmente abarca desde los 5.000 g/mol hasta más de 350.000 g/mol, pero depende mucho del grado de hidratación y otros factores.
- D-mano glicanos. Este tipo de polisacárido se encuentra en las plantas superiores en forma de galactomananos y glucomananos, compuestos de cadenas lineales de D-manopiranosas unidas por enlaces β-1,4 y por residuos de D-manopiranosas y D-glucopiranosas unidos por enlaces β-1,4, respectivamente. Ambos tipos de mano glicanos pueden tener residuos de D-galactopiranosa unidos al esqueleto principal de la molécula en diferentes posiciones. Los galactomananos se encuentran en el endospermo de algunas nueces y dátiles, son insolubles en agua y de conformación similar a la de la celulosa. Los glucomananos, por otro lado, son los principales componentes hemicelulocíticos de las paredes celulares de las maderas blandas.
- β-glucanos. Los glucanos son los componentes hemicelulocíticos de los granos de cereales y se encuentran predominantemente en gramíneas y poáceas en general. En estas plantas, los β-glucanos son las principales moléculas asociadas con las microfibras de celulosa durante el crecimiento celular. Su estructura es lineal y consiste en residuos de glucopiranosa unidos a través de enlaces mixtos β-1,4 (70%) y β-1,3 (30%). Los pesos moleculares reportados para los cereales varían entre 0.065 a 3 x 10e6 g/mol, pero existen diferencias relativas a las especies donde se estudien.
- Xiloglucanos. Este polisacárido hemicelulocítico se encuentra en las plantas superiores y es uno de los más abundantes materiales estructurales de las paredes celulares. En las angiospermas dicotiledóneas representa más del 20% de los polisacáridos de pared, mientras que en las gramíneas y otras monocotiledóneas representa hasta el 5%. Los xiloglucanos están compuestos por un esqueleto similar al de la celulosa, compuesto por unidades de glucopiranosa unidas por enlaces β-1,4, que está unido a residuos de α-D-xilopiranosa a través de su carbono en posición 6. Estos polisacáridos se unen estrechamente a las microfibras de celulosa de la pared celular mediante puentes de hidrógeno, contribuyendo a la estabilización de la red celulocítica.
Biosíntesis de la hemicelulosa
La mayor parte de los polisacáridos de membrana son sintetizados a partir de azúcares nucleótido activados muy específicos.
Estos azúcares son empleados por enzimas glicosiltransferasas en el complejo de Golgi, encargadas de la formación de los enlaces glucosídicos entre los monómeros y la síntesis del polímero en cuestión.
El esqueleto celulocítico de los xiloglucanos es sintetizado por miembros de la familia de proteínas encargadas de la síntesis de la celulosa, codificados por la familia genética CSLC.
Funciones de la hemicelulosa
Así como su composición varía dependiendo de la especie vegetal que se estudie, las funciones de las hemicelulosas también. Las principales son:
- Funciones biológicas. En la formación de la pared celular de las plantas y de otros organismos con células similares a las células vegetales, las distintas clases de hemicelulosas cumplen funciones esenciales en materia estructural gracias a su capacidad de asociarse no covalentemente con la celulosa. Los xilanos, uno de los tipos de hemicelulosa, son especialmente importantes en el endurecimiento de las paredes celulares secundarias desarrolladas por algunas especies vegetales. En algunas especies vegetales como el tamarindo, las semillas, en vez de almidón, almacenan xiloglucanos, movilizados gracias a la acción de las enzimas presentes en la pared celular, y esto ocurre durante los procesos de germinación, donde se suministra energía al embrión contenido en la semilla.
- Funciones e importancia comercial. Las hemicelulosas almacenadas en las semillas como el tamarindo son explotadas comercialmente para la producción de aditivos empleados en la industria alimenticia. Ejemplo de estos aditivos son la goma de tamarindo y la goma “guar” o “guaran” (extraída de una especie de leguminosa). En la industria panadera, la presencia de arabinoxilanos puede afectar la calidad de los productos obtenidos, del mismo modo que, debido a su viscosidad característica, también afectan la producción de cerveza. La presencia de determinado tipo de celulosas en algunos tejidos vegetales puede afectar enormemente el aprovechamiento de estos tejidos para la producción de biocombustibles. Usualmente, la adición de enzimas hemicelulosas es una práctica común para superar estos inconvenientes. Pero con el advenimiento de la biología molecular y otras técnicas de gran utilidad, algunos investigadores trabajan en el diseño de plantas transgénicas que produzcan tipos específicos de hemicelulosas.
Referencias
- Ebringerová, A., Hromádková, Z., & Heinze, T. Hemicellulose. Adv. Polym. Sci.
- Pauly, M., Gille, S., Liu, L., Mansoori, N., de Souza, A., Schultink, A., & Xiong, G. Hemicellulose biosynthesis. Planta.
- Saha, B. C. Hemicellulose bioconversion. J. Ind. Microbiol. Biotechnol.
- Scheller, H. V., & Ulvskov, P. Hemicelluloses. Annu. Rev. Plant. Physiol.
- Wyman, C. E., Decker, S. R., Himmel, M. E., Brady, J. W., & Skopec, C. E. Hydrolysis of Cellulose and Hemicellulose.